Chinese Bulletin of Botany ›› 2025, Vol. 60 ›› Issue (6): 901-913.DOI: 10.11983/CBB25060 cstr: 32102.14.CBB25060
• RESEARCH ARTICLES • Previous Articles Next Articles
Rui Wang1, Weijun Zhao1, Yang Bai1, Qingjun Cheng1, Haiyan Zhang1, Fengxia Yan1, Liang Ling2,*(
)
Received:2025-04-08
Accepted:2025-07-01
Online:2025-11-10
Published:2025-07-07
Contact:
Liang Ling
Rui Wang, Weijun Zhao, Yang Bai, Qingjun Cheng, Haiyan Zhang, Fengxia Yan, Liang Ling. Effects of Endogenous Hormones on Height Difference Between Main Stem and Tiller of Sorghum bicolor[J]. Chinese Bulletin of Botany, 2025, 60(6): 901-913.
Figure 1 The differences in growth and height of main stem and tiller of K35-Y5 and 1383 at different stages (A) The main stem and tiller growth of K35-Y5 and 1383 in different stages (a: K35-Y5 main stem at booting stage; b: K35-Y5 tiller at booting stage; c: K35-Y5 main stem at flowering stage; d: K35-Y5 tiller at flowering stage; e: 1383 main stem at booting stage; f: 1383 tiller at booting stage; g: 1383 main stem at flowering stage; h: 1383 tiller at flowering stage) (bars=5 cm); (B) Height differences of main stem and tiller of K35-Y5 and 1383 at different stages. * and ** indicate significant differences at the 0.05 and 0.01 levels, respectively.
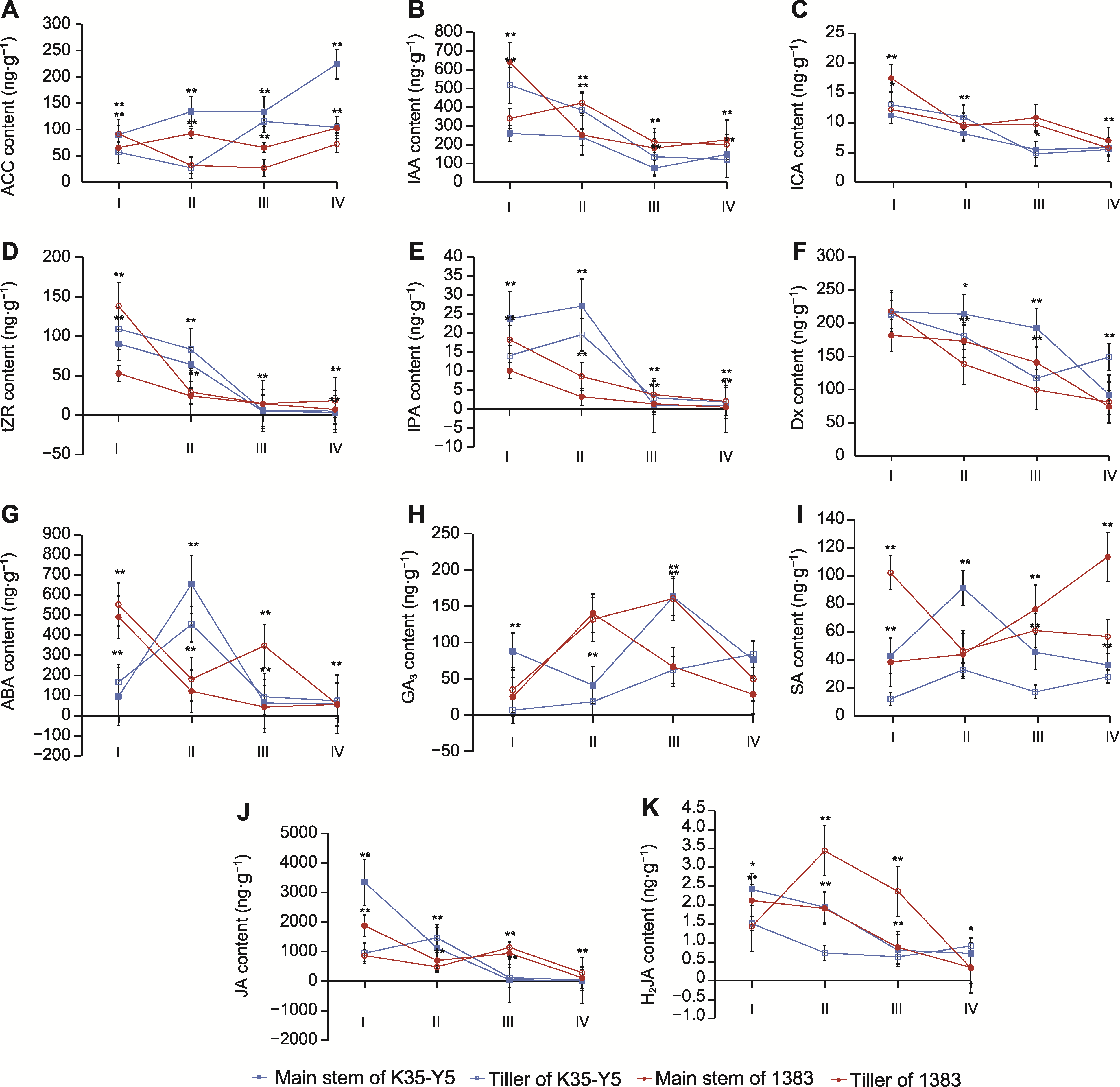
Figure 2 The endogenous hormone contents of main stem and tiller of K35-Y5 and 1383 at different stages The ACC (A), IAA (B), ICA (C), tZR (D), IPA (E), Dx (F), ABA (G), GA3 (H), SA (I), JA (J), and H2JA (K) content of main stem and tiller of K35-Y5 and 1383 in different stages. ACC: 1-aminocyclopropanecarboxylic acid; IAA: Indole-3-acetic acid; ICA: Indole-3-carboxaldehyde; tZR: Trans-zeatin-riboside; IPA: Isopentenyl adenosine; Dx: Doxifluridine; ABA: Abscisic acid; GA3: Gibberellin A3; SA: Salicylic acid; JA: (±)-jasmonic acid; H2JA: Dihydrojasmonic acid; I: Main stem booting stage; II: Tiller booting stage; Ill: Main stem flowering stage; IV: Tiller flowering stage. * and ** indicate significant differences at the 0.05 and 0.01 levels, respectively.
| Height | ACC | IAA | ICA | tZR | IPA | Dx | ABA | GA3 | SA | JA | H2JA |
|---|---|---|---|---|---|---|---|---|---|---|---|
| Main stem booting stage | 0.43 | -0.45 | -0.42 | 0.48 | 0.44 | 0.58 | -0.43 | 0.42 | 0.45 | 0.49 | 0.29 |
| Tiller booting stage | 0.96** | 0.68 | -0.95** | 0.97** | -0.78 | -0.38 | 0.90* | 0.96** | 0.95** | -0.96** | 0.92* |
| Main stem flowering stage | -0.86* | -0.7 | 0.40 | -0.24 | -0.69 | 0.93** | 0.84* | 0.88* | 0.87* | -0.87* | 0.86* |
| Tiller flowering stage | 0.89* | 0.71 | -0.84* | 0.73 | 0.90* | -0.90* | -0.97** | 0.91* | -0.99** | -0.90* | -0.81* |
Table 1 The correlation analysis between height difference of stem and tiller and relative content of endogenous hormones in different stages
| Height | ACC | IAA | ICA | tZR | IPA | Dx | ABA | GA3 | SA | JA | H2JA |
|---|---|---|---|---|---|---|---|---|---|---|---|
| Main stem booting stage | 0.43 | -0.45 | -0.42 | 0.48 | 0.44 | 0.58 | -0.43 | 0.42 | 0.45 | 0.49 | 0.29 |
| Tiller booting stage | 0.96** | 0.68 | -0.95** | 0.97** | -0.78 | -0.38 | 0.90* | 0.96** | 0.95** | -0.96** | 0.92* |
| Main stem flowering stage | -0.86* | -0.7 | 0.40 | -0.24 | -0.69 | 0.93** | 0.84* | 0.88* | 0.87* | -0.87* | 0.86* |
| Tiller flowering stage | 0.89* | 0.71 | -0.84* | 0.73 | 0.90* | -0.90* | -0.97** | 0.91* | -0.99** | -0.90* | -0.81* |
| Height | IAA/ABA | GA3/ABA | tZR/ABA | (IAA+GA3)/ABA | (IAA+GA3+ tZR)/ABA |
|---|---|---|---|---|---|
| Main stem booting stage | -0.45 | 0.45 | 0.47 | -0.44 | -0.40 |
| Tiller booting stage | -0.94** | -0.97 | -0.94** | -0.94** | -0.94** |
| Main stem flowering stage | -0.84* | 0.89* | -0.69* | -0.81 | -0.81 |
| Tiller flowering stage | 0.93** | 0.95** | 0.90** | 0.95** | 0.96** |
Table 2 The correlation analysis between height difference of stem and tiller and relative ratio of endogenous hormones in different stages
| Height | IAA/ABA | GA3/ABA | tZR/ABA | (IAA+GA3)/ABA | (IAA+GA3+ tZR)/ABA |
|---|---|---|---|---|---|
| Main stem booting stage | -0.45 | 0.45 | 0.47 | -0.44 | -0.40 |
| Tiller booting stage | -0.94** | -0.97 | -0.94** | -0.94** | -0.94** |
| Main stem flowering stage | -0.84* | 0.89* | -0.69* | -0.81 | -0.81 |
| Tiller flowering stage | 0.93** | 0.95** | 0.90** | 0.95** | 0.96** |
Figure 3 The 1383 plant sprayed with gibberellin (GA3) (A) The 1383 plant with the whole plant sprayed with GA3 (bar=5 cm); (B) The 1383 plant with the main stem sprayed with GA3 (bar=5 cm). CK: Control. * indicate significant correlation at the 0.05 level. NS: Not significant
Figure 4 Comparison of the internode length between main stem and tiller (A) 1383 without GA3 spraying; (B) The 1383 with the main stem sprayed with GA3. Horizontal coordinate: 1-13 indicate from the uppermost internode to the 13th from the top.
Figure 5 Paraffin sections of the 3rd internode from the top of 1383 (A) 1383 main stem of without GA3 spraying; (B) 1383 tiller of without GA3 spraying; (C) 1383 main stem of main stem sprayed with GA3; (D) 1383 tiller of main stem sprayed with GA3. Bars=100 µm
| [1] |
Aeschbacher RA, Hauser MT, Feldmann KA, Benfey PN (1995). The SABRE gene is required for normal cell expansion in Arabidopsis. Genes Dev 9, 330-340.
DOI URL |
| [2] |
Agehara S, Leskovar DI (2014). Age-dependent effectiveness of exogenous abscisic acid in height control of bell pepper and jalapeño transplants. Sci Hortic 175, 193-200.
DOI URL |
| [3] |
Bai YC, Cai MM, Dou YP, Xie YL, Zheng HF, Gao J (2023). Phytohormone crosstalk of cytokinin biosynthesis and signaling family genes in moso bamboo (Phyllostachys edulis). Int J Mol Sci 24, 10863.
DOI URL |
| [4] |
Barbier FF, Dun EA, Kerr SC, Chabikwa TG, Beveridge CA (2019). An update on the signals controlling shoot branching. Trends Plant Sci 24, 220-236.
DOI PMID |
| [5] |
Chen PL, Yang RX, Bartels D, Dong TY, Duan HY (2022). Roles of abscisic acid and gibberellins in stem/root tuber development. Int J Mol Sci 23, 4955.
DOI URL |
| [6] | Chen XS, Di JC, Xu NY, Xiao SH, Liu JG (2007). The inheritance of an ultra-dwarf plant mutant from upland cotton. Hereditas 29, 471-474. (in Chinese). |
| 陈旭升, 狄佳春, 许乃银, 肖松华, 刘剑光 (2007). 陆地棉超矮秆突变性状质量遗传规律分析. 遗传 29, 471-474. | |
| [7] |
Chen Y, Hou MM, Liu LJ, Wu S, Shen Y, Ishiyama K, Kobayashi M, Mccarty DR, Tan BC (2014). The maize DWARF1 encodes a gibberellin 3-oxidase and is dual localized to the nucleus and cytosol. Plant Physiol 166, 2028-2039.
DOI PMID |
| [8] |
Chen YN, Fan XR, Song WJ, Zhang YL, Xu GH (2012). Over-expression of OsPIN2 leads to increased tiller numbers, angle and shorter plant height through suppression of OsLAZY1. Plant Biotechnol J 10, 139-149.
DOI URL |
| [9] | Davies PJ (2012). Plant hormones and their role in plant growth and development. Dordrecht: Springer. pp. 3-10. |
| [10] | Domagalska MA, Leyser O (2011). Signal integration in the control of shoot branching. Nat Rev Mol Cell Biol 12, 211-221. |
| [11] |
Du H, Chang Y, Huang F, Xiong LZ (2015). GID1 modulates stomatal response and submergence tolerance involving abscisic acid and gibberellic acid signaling in rice. J Integr Plant Biol 57, 954-968.
DOI |
| [12] | Han Y, Teng KC, Nawaz G, Feng X, Usman B, Wang X, Luo L, Zhao N, Liu YG, Li RB (2019). Generation of semi-dwarf rice (Oryza sativa L.) lines by CRISPR/Cas9- directed mutagenesis of OsGA20ox2 and proteomic analysis of unveiled changes caused by mutations. 3 Biotech 9, 387. |
| [13] | Huang DB, Wang SG, Zhang BC, Shang-Guan KK, Shi YY, Zhang DM, Liu XL, Wu K, Xu ZP, Fu XD, Zhou YH (2015). A gibberellin-mediated DELLA-NAC signaling cascade regulates cellulosesynthesis in rice. Plant Cell 27, 1681-1696. |
| [14] |
Hubbard L, McSteen P, Doebley J, Hake S (2002). Expression patterns and mutant phenotype of teosinte branched1 correlate with growth suppression in maize and teosinte. Genetics 162, 1927-1935.
DOI PMID |
| [15] |
Ji SH, Gururani MA, Lee JW, Ahn BO, Chun SC (2014). Isolation and characterisation of a dwarf rice mutant exhibiting defective gibberellins biosynthesis. Plant Biol 16, 428-439.
DOI URL |
| [16] |
Jia DF, Gong XQ, Li MJ, Li C, Sun TT, Ma FW (2018). Overexpression of a novel apple NAC transcription factor gene, MdNAC1, confers the dwarf phenotype in transgenic apple (Malus domestica). Genes 9, 229.
DOI URL |
| [17] |
Knöller AS, Blakeslee JJ, Richards EL, Peer WA, Murphy AS (2010). Brachytic2/ZmABCB1 functions in IAA export from intercalary meristems. J Exp Bot 61, 3689-3696.
DOI PMID |
| [18] |
Langer RHM, Prasad PC, Laude HM (1973). Effects of kinetin on tiller bud elongation in wheat (Triticum aestivum L.). Ann Bot 37, 565-571.
DOI URL |
| [19] |
Li ZX, Zhang XR, Zhao YJ, Li YJ, Zhang GF, Peng ZH, Zhang JR (2018). Enhancing auxin accumulation in maize root tips improves root growth and dwarfs plant height. Plant Biotechnol J 16, 86-99.
DOI PMID |
| [20] | Liu T, Wang TH, Chun Y, Li XY, Zhao JF (2022). Research progresses on epigenetic regulation of plant branching/ tillering. Chin Bull Bot 57, 532-548. (in Chinese). |
|
刘婷, 王天浩, 淳雁, 李学勇, 赵金凤 (2022). 表观遗传调控植物分枝/分蘖研究进展. 植物学报 57, 532-548.
DOI |
|
| [21] |
Liu Y, Ding YF, Wang QS, Li GH, Xu JX, Liu ZH, Wang SH (2011). Effect of plant growth regulators on the growth of rice tiller bud and the changes of endogenous hormones. Acta Agronomica Sinica 37, 670-676. (in Chinese).
DOI |
|
刘杨, 丁艳锋, 王强盛, 李刚华, 许俊旭, 刘正辉, 王绍华 (2011). 植物生长调节剂对水稻分蘖芽生长和内源激素变化的调控效应. 作物学报 37, 670-676.
DOI |
|
| [22] |
Nakano M, Omae N, Tsuda K (2022). Inter-organismal phytohormone networks in plant-microbe interactions. Curr Opin Plant Biol 68, 102258.
DOI URL |
| [23] |
Nakata M, Mitsuda N, Herde M, Koo AJK, Moreno JE, Suzuki K, Howe GA, Ohme-Takagi M (2013). A bHLH- type transcription factor, ABA-INDUCIBLE BHLH-TYPE TRANSCRIPTION FACTOR/JA-ASSOCIATED MYC2-LIKE1, acts as a repressor to negatively regulate jasmonate signaling in Arabidopsis. Plant Cell 25, 1641-1656.
DOI URL |
| [24] | Rongen MV, Bennett T, Ticchiarelli F, Leyser O (2019). Connective auxin transport contributes to strigolactone- mediated shoot branching control independent of the transcription factor BRC1. PLoS Genet 15, 1008023. |
| [25] |
Shen JJ, Zhang YQ, Ge DF, Wang ZY, Song WY, Gu R, Che G, Cheng ZH, Liu RY, Zhang XL (2019). CsBRC1 inhibits axillary bud outgrowth by directly repressing the auxin efflux carrier CsPiN3 in cucumber. Proc Natl Acad Sci USA 116, 17105-17114.
DOI URL |
| [26] |
Srinivasan C, Liu ZR, Scorza R (2011). Ectopic expression of class 1 KNOX genes induce adventitious shoot regeneration and alter growth and development of tobacco (Nicotiana tabacum L.) and European plum (Prunus domestica L.) Plant Cell Rep 30, 655-664.
DOI PMID |
| [27] |
Tong HN, Xiao YH, Liu DP, Gao SP, Liu LC, Yin YH, Jin Y, Qian Q, Chu CC (2014). Brassinosteroid regulates cell elongation by modulating gibberellin metabolism in rice. Plant Cell 26, 4376-4393.
DOI URL |
| [28] |
Waldie T, Leyser O (2018). Cytokinin targets auxin transport to promote shoot branching. Plant Physiol 177, 803-818.
DOI PMID |
| [29] | Wang CZ, Pan XJ, Zhang CM, Hu XF, Yang YX (2006). Effects of exogenous ABA on hormone content in different varieties of fall dormancy Medicago sativa varieties. Acta Prataculturae Sinica 15(2), 30-36. (in Chinese). |
| 王成章, 潘晓建, 张春梅, 胡喜峰, 杨雨鑫 (2006). 外源ABA对不同秋眠型苜蓿品种植物激素含量的影响. 草业学报 15(2), 30-36. | |
| [30] |
Wang L, Mu C, Du MW, Chen Y, Tian XL, Zhang MC, Li ZH (2014). The effect of mepiquat chloride on elongation of cotton (Gossypium hirsutum L.) internode is associated with low concentration of gibberellic acid. Plant Sci 225, 15-23.
DOI PMID |
| [31] | Xia XJ, Dong H, Yin YL, Song XW, Gu XH, Sang KQ, Zhou J, Shi K, Zhou YH, Foyer CH, Yu JQ (2021). Brassinosteroid signaling integrates multiple pathways to release apical dominance in tomato. Proc Natl Acad Sci USA 118, 2004384118. |
| [32] |
Yamaguchi S (2008). Gibberellin metabolism and its regulation. Annu Rev Plant Biol 59, 225-251.
DOI PMID |
| [33] | Yang TZ, Yang XL, Yin QY, Guo ZM (2006). Changes in endogenous hormone contents in shoot-tip of tobacco (Nicotiana tabacum L.) genotypes with different plant height and response to the exogenous hormones. Plant Physiology Journal 42, 643-647. (in Chinese). |
| 杨铁钊, 杨欣玲, 殷全玉, 郭志民 (2006). 烟草株高变异体的茎尖中内源激素含量变化及其对外源激素的响应. 植物生理学通讯 42, 643-647. | |
| [34] | Yin WN, Kong GC, Wang XY, Gao JT, He X (2011). Dynamic changes of plant hormone contents in hexapoid triticale (× Triticosecale Wittmack) with different plant height. Journal of Triticeae Crops 31, 953-958. (in Chinese). |
| 殷稳娜, 孔广超, 王雪玉, 高静涛, 何萱 (2011). 六倍体小黑麦株高形成中内源激素含量的变化. 麦类作物学报 31, 953-958. | |
| [35] |
Zeevaart JAD (1983). Metabolism of abscisic acid and its regulation in Xanthium leaves during and after water stress. Plant Physiol 71, 477-481.
DOI PMID |
| [36] | Zhang YL, Wang LY, Liang YT, Chen N, Li SF, Gao WJ (2024). GA3 treatment affects sex expression and plant architecture in spinach. Journal of Henan Normal University (Nat Sci Ed) 52(2), 130-138. (in Chinese). |
| 张玉兰, 王丽颖, 梁艺涛, 陈宁, 李书粉, 高武军 (2024). GA3处理影响菠菜性别及其株型发育. 河南师范大学学报(自然科学版) 52(2), 130-138. | |
| [37] |
Zhou SG, Hu ZL, Li FF, Yu XH, Naeem M, Zhang YJ, Chen GP (2018). Manipulation of plant architecture and flowering time by down-regulation of the GRAS transcription factor SlGRAS26 in Solanum lycopersicum. Plant Sci 271, 81-93.
DOI URL |
| [1] | Ziqi He, Hanyu Wu, Zhichao Sun, Tingting Hu, Yingwei Wang, Yali Zhang, Chuangdao Jiang. Mowing Improves Photosynthetic Rate and Biomass Production in High-density Sweet Sorghum at the Heading-stage [J]. Chinese Bulletin of Botany, 2026, 61(1): 1-0. |
| [2] | Liu Ting, Wang Tianhao, Chun Yan, Li Xueyong, Zhao Jinfeng. Research Progresses on Epigenetic Regulation of Plant Branching/Tillering [J]. Chinese Bulletin of Botany, 2022, 57(4): 532-548. |
| [3] | Wei Xuan, Guohua Xu. Genomic Basis of Rice Adaptation to Soil Nitrogen Status [J]. Chinese Bulletin of Botany, 2021, 56(1): 1-5. |
| [4] | Mei-ling Han,Ru-jiao Tan,Dai-yin Chao. A New Progress of Green Revolution: Epigenetic Modification Dual-regulated by Gibberellin and Nitrogen Supply Contributes to Breeding of High Yield and Nitrogen Use Efficiency Rice [J]. Chinese Bulletin of Botany, 2020, 55(1): 5-8. |
| [5] | Wei Du, Jian Ding, Chengjiang Ruan. Dynamic Changes of Hormones Contents in Different Fruit Developmental Stages of Sea Buckthorn [J]. Chinese Bulletin of Botany, 2018, 53(2): 219-226. |
| [6] | Shujia Li, Jin Gao, Jiayang Li, Yonghong Wang. Advances in Regulating Rice Tillers by Strigolactones [J]. Chinese Bulletin of Botany, 2015, 50(5): 539-548. |
| [7] | Langtao Xiao. Chinese Scientists Made Breakthrough Progresses in Elucidating the Molecular Mechanism of Regulating Plant Architecture by Strigolactones [J]. Chinese Bulletin of Botany, 2015, 50(4): 407-411. |
| [8] | Chunfang Zhao, Lihui Zhou, Xin Yu, Qingyong Zhao, Tao Chen, Shu Yao, Yadong Zhang, Zhen Zhu, Cailin Wang. Identification of Tiller Angle Quantitative Trait Loci Based on Chromosome Segment Substituted Lines and High-density Physical Map in Rice [J]. Chinese Bulletin of Botany, 2012, 47(6): 594-601. |
| [9] | WEI Ming,LIAO Xue-Qun,LI Dong-Xia,DUAN Hai-Long. Comparison of tillering productivity among nodes along the mian stem of rice [J]. Chin J Plant Ecol, 2012, 36(4): 324-332. |
| [10] | LI Na-Na, TIAN Qi-Zhuo, WANG Shu-Liang, XIE Lian-Jie, PEI Yan-Ting, LI Hui. Responses and regulation of canopy microclimate on formation spike from tillers of two types of wheat [J]. Chin J Plant Ecol, 2010, 34(3): 289-297. |
| [11] | Hui Yang;Lizhe An;Zhiye Wang;Jianping Zhou;Xunling Wang. Effects of Enhanced UV-B Radiation on Pollen Activities of 2 Tomato Cultivars in Terms of Endogenous Hormone,Polyamine and Proline Levels in Stamens [J]. Chinese Bulletin of Botany, 2007, 24(02): 161-167. |
| [12] | Liying Song;Feng Gao. Changes of Endogenous Hormones in Momordica charantia During in vitro Culture [J]. Chinese Bulletin of Botany, 2006, 23(2): 192-196. |
| [13] | XU Qi-Jiang YANG Shou-Zhi CHI Chun-Yu XU Xin-Cheng CHEN Dian. Study on Micropropagation through Bulblet Formation in Tillered-onion [J]. Chinese Bulletin of Botany, 2003, 20(01): 80-84. |
| [14] | LIANG Yu, CHEN Shi-Ping, GAO Yu-Bao, REN An-Zhi. Effects of Endophyte Infection on the Growth of Lolium perenne L.Under drought Stress [J]. Chin J Plan Ecolo, 2002, 26(5): 621-626. |
| [15] | YANG Yun-Fei, ZHENG Hui-Ying, LI Jian-Dong. The Effects of Grazing on Age Structure in Clonal Populations of Agropyron michnoi [J]. Chin J Plan Ecolo, 2001, 25(1): 71-75. |
| Viewed | ||||||
|
Full text |
|
|||||
|
Abstract |
|
|||||