植物学报 ›› 2017, Vol. 52 ›› Issue (5): 543-549.DOI: 10.11983/CBB16123 cstr: 32102.14.CBB16123
收稿日期:2016-06-02
接受日期:2016-09-04
出版日期:2017-09-01
发布日期:2017-07-10
通讯作者:
翟衡
基金资助:Lulong Sun, Wei Song, Yuanpeng Du, Heng Zhai*
Received:2016-06-02
Accepted:2016-09-04
Online:2017-09-01
Published:2017-07-10
Contact:
Heng Zhai
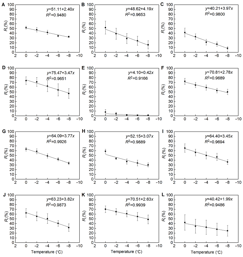
摘要: 以12个葡萄(Vitis vinifera)品种为试材, 在秋季采集叶片, 进行霜冻处理, 测定了霜冻过程中叶片光化学反射指数(PRI)的变化。提取有效参数, 采用隶属函数法比较了不同叶片的耐霜冻能力。结果表明, 随着温度的降低, 叶片光化学反射指数呈下降趋势。在-8-0°C范围内, PRI及其相对值Rt与温度都存在显著的线性关系; 叶片PRI在0°C、-8°C时的相对值R0、R-8, 以及-8-0°C范围中, Rt与温度的回归直线斜率SLP都具有品种特异性, 可以反映不同品种的耐霜冻能力。隶属函数法结合聚类分析结果显示, 在12个候选品种中, 抗霜冻能力最好的是Cabernet Sauvignon, 其R0、R-8和SLP分别为72.3%、50.19%和2.78。
孙鲁龙, 宋伟, 杜远鹏, 翟衡. 光化学反射指数在比较葡萄叶片耐霜冻能力中的应用. 植物学报, 2017, 52(5): 543-549.
Lulong Sun, Wei Song, Yuanpeng Du, Heng Zhai. Application of Photochemical Reflectance Index in Comparing Frost Resistance of Grapevine Cultivars. Chinese Bulletin of Botany, 2017, 52(5): 543-549.
图1 不同葡萄品种叶片低温处理温度-PRI的关系(A)-(L) 分别为葡萄种质Kyoho、Summer black、Muscat、Moldova、Tangwei Butao、Cabernet Sauvignon、Merlot、Frontenac、Vidal Blanc、Shan Butao、White Riesling和Pinot Chardonnay, 图2同。采用-8-0°C之间的数据进行回归直线拟合, 显著水平为α=0.05。
Figure 1 Temperature-PRI relationships in leaves of different grapevine cultivars (A)-(L) Indicate grapevine cultivars Kyoho, Summer black, Muscat, Moldova, Tangwei Butao, Cabernet Sauvignon, Merlot, Frontenac, Vidal Blanc, Shan Butao, White Riesling and Pinot Chardonnay, respectively, the same as Figure 2. All regressions were conducted for the range of -8°C to 0°C and significant difference at 0.05 levels.
图2 不同葡萄品种叶片温度-Rt的关系(A)-(L)见图1。Rt (%)=PRIt/PRI4°C×100, t=0、-2、-4、-6、-8°C。采用-8-0°C之间的数据进行回归直线拟合, 显著水平为α=0.05。
Figure 2 Temperature-Rt relationships in different grapevine cultivars (A)-(L) See Figure 1. Rt (%)=PRIt/PRI4°C×100, t=0, -2, -4, -6, -8°C. All regressions were conducted for the range of -8°C to 0°C and significant difference at 0.05 levels.
| 1 | 2 | 3 | 4 | 5 | 6 | 7 | 8 | 9 | 10 | 11 | 12 | |
|---|---|---|---|---|---|---|---|---|---|---|---|---|
| R0 | ||||||||||||
| 1. Kyoho | ||||||||||||
| 2. Summer black | * | |||||||||||
| 3. Muscat | * | * | ||||||||||
| 4. Moldova | * | * | * | |||||||||
| 5. Tangwei Butao | * | * | * | * | ||||||||
| 6. Cabernet Sauvignon | * | * | * | * | * | |||||||
| 7. Merlot | * | * | * | * | * | * | ||||||
| 8. Frontenac | * | * | * | * | * | * | * | |||||
| 9. Vidal Blanc | * | * | * | * | * | * | * | * | ||||
| 10. Shan Butao | * | * | * | * | * | * | * | * | * | |||
| 11. White Riesling | * | * | * | * | * | * | * | * | * | * | ||
| 12. Pinot Chardonnay | * | * | * | * | * | * | * | * | * | * | * | |
| R-8 | ||||||||||||
| 1. Kyoho | ||||||||||||
| 2. Summer black | * | |||||||||||
| 3. Muscat | * | * | ||||||||||
| 4. Moldova | * | * | * | |||||||||
| 5. Tangwei Butao | * | * | * | * | ||||||||
| 6. Cabernet Sauvignon | * | * | * | * | * | |||||||
| 7. Merlot | * | * | * | * | * | * | ||||||
| 8. Frontenac | * | * | * | * | * | * | * | |||||
| 9. Vidal Blanc | * | * | * | * | * | * | * | * | ||||
| 10. Shan Butao | * | * | * | * | * | * | * | * | * | |||
| 11. White Riesling | * | * | * | * | * | * | * | * | * | * | ||
| 12. Pinot Chardonnay | * | * | * | * | * | * | * | * | * | * | * | |
| 1/SLP | ||||||||||||
| 1. Kyoho | ||||||||||||
| 2. Summer black | * | |||||||||||
| 3. Muscat | * | n | ||||||||||
| 4. Moldova | * | * | * | |||||||||
| 5. Tangwei Butao | * | * | * | * | ||||||||
| 6. Cabernet Sauvignon | * | * | * | * | * | |||||||
| 7. Merlot | * | * | n | * | * | * | ||||||
| 8. Frontenac | * | * | * | * | * | * | * | |||||
| 9. Vidal Blanc | * | * | * | n | * | * | * | * | ||||
| 10. Shan Butao | * | * | n | * | * | * | n | * | * | |||
| 11. White Riesling | * | * | * | * | * | * | * | * | * | * | ||
| 12. Pinot Chardonnay | * | * | * | * | * | * | * | * | * | * | * | |
表1 12个葡萄品种叶片R0、R-8和1/SLP比较
Table 1 Comparison of R0, R-8, 1/SLP among 12 grapevine cultivar leaves
| 1 | 2 | 3 | 4 | 5 | 6 | 7 | 8 | 9 | 10 | 11 | 12 | |
|---|---|---|---|---|---|---|---|---|---|---|---|---|
| R0 | ||||||||||||
| 1. Kyoho | ||||||||||||
| 2. Summer black | * | |||||||||||
| 3. Muscat | * | * | ||||||||||
| 4. Moldova | * | * | * | |||||||||
| 5. Tangwei Butao | * | * | * | * | ||||||||
| 6. Cabernet Sauvignon | * | * | * | * | * | |||||||
| 7. Merlot | * | * | * | * | * | * | ||||||
| 8. Frontenac | * | * | * | * | * | * | * | |||||
| 9. Vidal Blanc | * | * | * | * | * | * | * | * | ||||
| 10. Shan Butao | * | * | * | * | * | * | * | * | * | |||
| 11. White Riesling | * | * | * | * | * | * | * | * | * | * | ||
| 12. Pinot Chardonnay | * | * | * | * | * | * | * | * | * | * | * | |
| R-8 | ||||||||||||
| 1. Kyoho | ||||||||||||
| 2. Summer black | * | |||||||||||
| 3. Muscat | * | * | ||||||||||
| 4. Moldova | * | * | * | |||||||||
| 5. Tangwei Butao | * | * | * | * | ||||||||
| 6. Cabernet Sauvignon | * | * | * | * | * | |||||||
| 7. Merlot | * | * | * | * | * | * | ||||||
| 8. Frontenac | * | * | * | * | * | * | * | |||||
| 9. Vidal Blanc | * | * | * | * | * | * | * | * | ||||
| 10. Shan Butao | * | * | * | * | * | * | * | * | * | |||
| 11. White Riesling | * | * | * | * | * | * | * | * | * | * | ||
| 12. Pinot Chardonnay | * | * | * | * | * | * | * | * | * | * | * | |
| 1/SLP | ||||||||||||
| 1. Kyoho | ||||||||||||
| 2. Summer black | * | |||||||||||
| 3. Muscat | * | n | ||||||||||
| 4. Moldova | * | * | * | |||||||||
| 5. Tangwei Butao | * | * | * | * | ||||||||
| 6. Cabernet Sauvignon | * | * | * | * | * | |||||||
| 7. Merlot | * | * | n | * | * | * | ||||||
| 8. Frontenac | * | * | * | * | * | * | * | |||||
| 9. Vidal Blanc | * | * | * | n | * | * | * | * | ||||
| 10. Shan Butao | * | * | n | * | * | * | n | * | * | |||
| 11. White Riesling | * | * | * | * | * | * | * | * | * | * | ||
| 12. Pinot Chardonnay | * | * | * | * | * | * | * | * | * | * | * | |
| Cultivar | R0 | R-8 | 1/SLP | Means |
|---|---|---|---|---|
| Kyoho | 0.667 | 0.644 | 0.083 | 0.464 |
| Summer black | 0.668 | 0.298 | 0 | 0.322 |
| Muscat | 0.513 | 0.151 | 0.006 | 0.223 |
| Moldova | 1 | 0.930 | 0.023 | 0.651 |
| Tangwei Butao | 0 | 0 | 1 | 0.333 |
| Cabernet Sauvignon | 0.977 | 1 | 0.057 | 0.678 |
| Merlot | 0.839 | 0.661 | 0.012 | 0.504 |
| Frontenac | 0.772 | 0.591 | 0.041 | 0.468 |
| Vidal Blanc | 0.874 | 0.713 | 0.024 | 0.537 |
| Shan Butao | 0.828 | 0.623 | 0.011 | 0.487 |
| White Riesling | 0.946 | 0.973 | 0.066 | 0.662 |
| Pinot Chardonnay | 0.525 | 0.486 | 0.123 | 0.378 |
表2 12个葡萄品种叶片的抗寒性隶属函数分析
Table 2 Affiliation function analysis of cold hardiness in lea- ves of 12 grapevine cultivars
| Cultivar | R0 | R-8 | 1/SLP | Means |
|---|---|---|---|---|
| Kyoho | 0.667 | 0.644 | 0.083 | 0.464 |
| Summer black | 0.668 | 0.298 | 0 | 0.322 |
| Muscat | 0.513 | 0.151 | 0.006 | 0.223 |
| Moldova | 1 | 0.930 | 0.023 | 0.651 |
| Tangwei Butao | 0 | 0 | 1 | 0.333 |
| Cabernet Sauvignon | 0.977 | 1 | 0.057 | 0.678 |
| Merlot | 0.839 | 0.661 | 0.012 | 0.504 |
| Frontenac | 0.772 | 0.591 | 0.041 | 0.468 |
| Vidal Blanc | 0.874 | 0.713 | 0.024 | 0.537 |
| Shan Butao | 0.828 | 0.623 | 0.011 | 0.487 |
| White Riesling | 0.946 | 0.973 | 0.066 | 0.662 |
| Pinot Chardonnay | 0.525 | 0.486 | 0.123 | 0.378 |
| [1] | 白金风, 公芙萍, 李春华, 武峰梅, 赵贵报 (2015). 侯马市近30年霜及霜冻的气候特征分析. 中国农学通报 31(2), 257-261. |
| [2] | 高振 (2014). 基于温度-伤害度关系分析葡萄抗寒性及其影响因素. 硕士论文. 泰安: 山东农业大学. pp. 19-20. |
| [3] | 潘淑坤, 张明军, 汪宝龙, 马雪宁 (2013). 1960-2011年新疆初终霜日及无霜期的变化特征. 干旱区研究 30, 735-742. |
| [4] | 张磊, 王静, 张晓煜, 卫建国, 段晓凤, 李红英, 肖艳红 (2014). 近50a宁夏初、终霜日基本特征及变化趋势. 干旱区研究 31, 1039-1045. |
| [5] | Allen DJ, Ort DR (2001). Impacts of chilling temperatures on photosynthesis in warm-climate plants.Trends Plant Sci 6, 36-42. |
| [6] | Ferguson JC, Tarara JM, Mills LJ, Grove GG, Keller M (2011). Dynamic thermal time model of cold hardiness for dormant grapevine buds.Ann Bot 107, 389-396. |
| [7] | Fuller MP, Telli G (1999). An investigation of the frost hardiness of grapevine (Vitis vinifera) during bud break.Ann Appl Biol 135, 589-595. |
| [8] | Gu SL (1999). Lethal temperature coefficient—a new parameter for interpretation of cold hardiness.J Hortic Sci Biotechnol 74, 53-59. |
| [9] | Kovács LG, Byers PL, Kaps ML, Saenz J (2003). Dormancy, cold hardiness, and spring frost hazard in Vitis amurensis hybrids under continental climatic conditions.Am J Enol Viticult 54, 8-14. |
| [10] | Maughan TL, Black BL, Drost D (2015). Critical temperature for sub-lethal cold injury of strawberry leaves.Sci Hortic 183, 8-12. |
| [11] | Nakaji T, Oguma H, Fujinuma Y (2006). Seasonal changes in the relationship between photochemical reflectance in- dex and photosynthetic light use efficiency of Japanese larch needles.Int J Remote Sens 27, 493-509. |
| [12] | Neuner G, Erler A, Ladinig U, Hacker J, Wagner J (2013). Frost resistance of reproductive tissues during various sta- ges of development in high mountain plants.Physiol Plant- arum 147, 88-100. |
| [13] | Sun LL, Song W, Geng QW, Du YP, Zhai H, Qin WS (2016). Comparison of cold hardiness in the leaves of various grape cultivars based on photochemical reflectance index.Vitis J Grapevine Res 55, 107-112. |
| [14] | Wample RL, Bary A (1992). Harvest date as a factor in carbohydrate storage and cold hardiness of Cabernet Sauvignon grapevines.J Am Soc Hortic Sci 117, 32-36. |
| [15] | Wample RL, Spayd SE, Evans RG, Stevens RG (1993). Nitrogen fertilization of White Riesling grapes in Was- hington: nitrogen seasonal effects on bud cold hardiness and carbohydrate reserves.Am J Enol Viticult 44, 159-167. |
| [16] | Wolf TK, Cook MK (1994). Cold hardiness of dormant buds of grape cultivars: comparison of thermal analysis and field survival.HortScience 29, 1453-1455. |
| [17] | Wu CY, Niu Z, Tang Q, Huang WJ (2010). Revised photochemical reflectance index (PRI) for predicting light use efficiency of wheat in a growth cycle: validation and com- parison.Int J Remote Sens 31, 2911-2924. |
| [1] | 杜英杰, 范爱连, 王雪, 闫晓俊, 陈廷廷, 贾林巧, 姜琦, 陈光水. 亚热带天然常绿阔叶林乔木树种与林下灌木树种根-叶功能性状协调性及差异[J]. 植物生态学报, 2025, 49(4): 585-595. |
| [2] | 赵洪贤, 刘鹏, 史曼英, 徐铭泽, 贾昕, 田赟, 查天山. 毛乌素沙地典型固沙植物黑沙蒿和赖草叶片氮分配对最大净光合速率的影响[J]. 植物生态学报, 2025, 49(3): 460-474. |
| [3] | 李若月, 杨小超, 郝占庆, 贾仕宏. 高温热浪和虫食对校园植物的作用强度及其与叶功能性状的关系[J]. 生物多样性, 2025, 33(1): 24283-. |
| [4] | 杨文丽, 李钊, 刘志铭, 张志华, 杨今胜, 吕艳杰, 王永军. 不同熟期玉米叶片衰老特性及其对叶际细菌的影响[J]. 植物学报, 2024, 59(6): 1024-1040. |
| [5] | 杨佳丽, 饶羽菲, 张润花, 周国林, 林处发, 何燕红, 宁国贵. 捕虫堇叶片高效再生体系建立[J]. 植物学报, 2024, 59(4): 626-634. |
| [6] | 萨其拉, 张霞, 朱琳, 康萨如拉. 长期不同放牧强度下荒漠草原优势种无芒隐子草叶片解剖结构变化[J]. 植物生态学报, 2024, 48(3): 331-340. |
| [7] | 杜旭龙, 黄锦学, 杨智杰, 熊德成. 增温对植物叶片和细根氧化损伤与防御特征及其相互关联影响的研究进展[J]. 植物生态学报, 2024, 48(2): 135-146. |
| [8] | 武晓云, 廖敏凌, 李雪茹, 舒梓淳, 辛佳潼, 张伯晗, 戴思兰. 毛华菊3种瓣型株系再生体系的建立[J]. 植物学报, 2024, 59(2): 245-256. |
| [9] | 徐铭泽, 赵洪贤, 李成, 李满乐, 田赟, 刘鹏, 查天山. 季节尺度毛乌素沙地黑沙蒿的叶片性状网络特征及驱动因素[J]. 植物生态学报, 2024, 48(12): 1650-1665. |
| [10] | 陈香蕾, 崔树娟, 赵晨军, 顾洪亮, 陈晓萍, 李锦隆, 孙俊. 基于叶形分类的木本植物单叶片面积预测模型[J]. 植物生态学报, 2024, 48(12): 1683-1691. |
| [11] | 李民青, 周孝明, 王双龙, 陈丽丹, 李从娟, 刘冉. 干旱胁迫下乔木状沙拐枣枝干光合作用对水力性状与叶片光合作用的影响[J]. 植物生态学报, 2024, 48(11): 1524-1535. |
| [12] | 周莹莹, 林华. 不同水热梯度下冠层优势树种叶片热力性状及适应策略的变化趋势[J]. 植物生态学报, 2023, 47(5): 733-744. |
| [13] | 刘婧, 缑倩倩, 王国华, 赵峰侠. 晋西北丘陵风沙区柠条锦鸡儿叶片与土壤生态化学计量特征[J]. 植物生态学报, 2023, 47(4): 546-558. |
| [14] | 刘向, 刘木, 肖瑶. 叶片病原真菌对植物物种共存的影响: 进展与挑战[J]. 生物多样性, 2023, 31(2): 22525-. |
| [15] | 王文伟, 韩伟鹏, 刘文文. 滨海湿地入侵植物互花米草叶片功能性状对潮位的短期响应[J]. 植物生态学报, 2023, 47(2): 216-226. |
| 阅读次数 | ||||||
|
全文 |
|
|||||
|
摘要 |
|
|||||
